深圳大学土木与交通工程学院丁志坤教授团队最新研究,首次运用脑磁图技术证实 VR安全培训知识在危险场景中迁移的神经机制,并提出 S.A.F.E. 框架,为下一代高效 VR 安全培训系统开发提供依据。
原文标题:
Investigating VR Safety Training Transfer in Construction Hazard Recognition: A Neurocognitive Perspective
原文链接:
https://doi.org/10.1016/j.aei.2026.104412 71
作者信息:
Zhaoyang Xiong, Zhikun Ding, Yaning Li, Jianfeng Zhang
封面照片:

Highlights:
1. 证实了建筑VR安全培训的迁移有效性:相比传统PPT培训,VR培训显著提升了人员在未受训场景下的危险识别敏感度(d’)。
2. 揭示了深层神经机制:利用脑磁图(MEG)技术,发现VR培训诱发了独特的早期情绪—情境编码机制,涉及视觉皮层(V1/LOC)、内侧前额叶(mPFC)和海马旁回(PHG)的协同激活。
3. 提出了S.A.F.E.神经认知框架:构建了包含图式匹配、情绪显著性、特征检测和要素识别的VR安全培训设计框架。
摘要
建筑施工现场环境瞬息万变,安全培训的核心目标不仅是让工人记住已有考题,更在于培养其“举一反三”的培训迁移(Training Transfer)能力,即在面对未曾受训的陌生场景时依然能敏锐识别危险。然而,现有VR安全培训的评估往往局限于对“已学场景”的机械记忆测试,忽视了对真实世界中最关键的迁移适应能力的验证。针对这一科学缺口,本研究首次引入毫秒级高时空分辨率的脑磁图(MEG)技术,构建了包含“未受训危险场景”的迁移任务范式,系统对比了沉浸式VR与传统PPT安全培训的迁移效果及其神经机制。行为学结果证实,VR培训在未受训场景中诱发了显著更优的危险识别敏感度(Δd’ = 0.481,*p = 0.035)。神经影像学证据进一步揭示,这种迁移优势并非源于传统的“规则学习”,而是依赖于大脑在刺激后早期建立的“情绪—情境”协同编码机制。研究发现,通过激活视觉皮层(特征提取)、内侧前额叶(情绪显著性/自我参照)和海马旁回(情境匹配)形成具有泛化性的具身威胁情境记忆(Embodied Threat Memories),使工人在面对全新危险时能自动触发危机警觉,而非依赖缓慢的逻辑分析。基于上述神经科学实证,本研究提出了S.A.F.E.神经认知框架——涵盖图式匹配(Schema matching)、情绪显著性(Affective salience)、特征检测(Feature detection)与要素识别(Element identification),为开发具备真实迁移效力的下一代VR安全培训系统提供了首个循证设计规范。
问题背景介绍
建筑行业事故率居高不下,很大程度上归因于工人在实时场景中未能识别和应对危险,特别是那些从未遇到过的“陌生危险”。尽管VR技术在安全培训中展现出巨大潜力,但现有研究存在一个关键缺口:大多数评估使用的是与培训内容相同或高度相似的场景。这种方法实际上是在测试“死记硬背”的能力,而非应对真实世界多变环境所需的“认知适应性”或“迁移能力”。
为了验证VR培训是否真正有效,必须探究其能否让工人在面对未受训的危险时依然保持敏锐,并揭示驱动这一过程的大脑认知神经机制。因此,本研究引入高时间分辨率和空间定位能力的脑磁图(MEG)技术,深入探究VR安全培训迁移背后的驱动逻辑。
研究方法概述
本研究采用“行为学+神经影像学”的综合方法。实验招募了16名无相关经验的参与者,随机分为VR组(体验式学习)和PPT组(传统的事故案例分析),实验流程包含背景测试、前测(Pre-test)、培训干预、后测(Post-test)以及两周后的保持测试(Retention test):

图1. 研究逻辑框架和实验流程
(1)PPT组采用传统的被动学习模式,受试者通过观看幻灯片,系统分析事故的过程、起因及后果,侧重于逻辑层面的规则习得。

| 
|
| (a)PPT培训过程 | (b)PPT培训材料 |
图2. PPT安全培训
(2)VR组采用了基于虚幻引擎5(Unreal Engine 5)开发的高保真虚拟建筑场景进行安全培训,通过PICO 4头显为参与者提供沉浸式体验。培训内容涵盖高处坠落、物体打击等核心事故类型,参与者以第一人称视角“亲历”事故过程,系统结合了空间音频与手柄触觉反馈,旨在通过多感官刺激强化对危险的具身认知。参与者仅针对9种危险场景中的3种进行培训。

| 
| 
|
| (a)VR培训过程 | (b)危险场景1 | (c)危险场景2 |
图3. VR安全培训

(a)前测

(b)后测/延后测
图4. 迁移任务实验范式

| 
|
| (a)MEG磁屏蔽室 | (b)MEG扫描仪 |
图5. MEG实验过程
总结与思考
荐读论文首次利用MEG技术提供了实证证据,证明了建筑VR安全培训相比于传统PPT安全培训在建筑危险识别中具备更好的迁移能力。
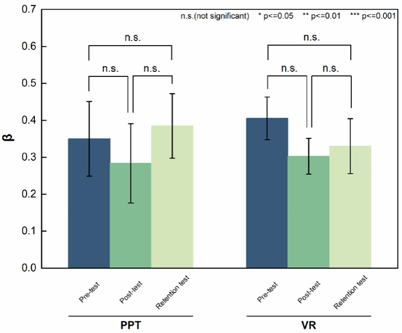
(1)行为层面:VR组在未受训场景中的危险识别敏感度(d’)显著提高,且这种效果在两周后依然保持,而PPT组则未能实现这种迁移。

| 
|
| (a)d’敏感度 | (b)β判断倾向 |
图 6. VR和PPT培训组危险识别效果比较
(2)神经层面:VR培训诱发了大脑在248–336 ms时间窗口内的特定激活模式。与PPT组相比,VR组在视觉皮层(V1/LOC)、内侧前额叶(mPFC)和海马旁回(PHG)表现出更强的激活。这意味着VR安全培训可能构建了一种“具身威胁记忆”,将危险特征与个人的情绪体验和情境记忆紧密结合,而非单纯的规则记忆。

(a)248-296毫秒内的大脑激活区域

图.7 脑区激活模式(VR组显著高于PPT组的区域)
(1)F (Feature detection,特征检测):增强V1的早期视觉处理,自动检测异常几何特征(如倾斜的栏杆)。
(2)E (Element identification,要素识别):利用LOC在高噪背景中精准锁定危险源
(3)S (Schema matching,图式匹配):利用PHG的情境记忆功能,帮助工人将新场景与存储的安全原型进行比对。
(4)A (Affective salience,情绪显著性):激活mPFC,通过模拟事故后果(如坠落感)建立情绪标记,充当“威胁放大器”。

图8. S.A.F.E.框架
基于S.A.F.E.框架,未来的VR安全培训不应仅局限于视觉保真度的提升,而应更关注神经认知的有效性:
(1)针对 F & E(特征识别):场景建模必须具备高保真的物理纹理和光影,保留真实的“环境噪声”,训练在复杂背景下的危险性特征提取能力。
(2)针对 S(记忆图式):培训设计应包含多变的场景变体(如不同天气、不同施工阶段),丰富大脑中的“安全原型库”,避免单一场景的机械记忆,实现跨情境的危险识别能力迁移。
(3)针对 A(情绪体验):引入多感官反馈(如手柄震动、坠落失重感、空间音效),这种高强度的情绪体验能够在大脑中建立稳固的“情绪标记”,将抽象的危险认知转化为本能的防御性回避反应。
荐读论文揭示了VR安全培训的核心价值在于实现从“我学习过”向“我经历过”的跨越,从而赋予了参与者关键的培训迁移能力。研究结果为VR系统的迭代开发提供了坚实的神经科学理论支撑,倡导未来的建筑安全培训应超越单纯的知识灌输,转向构建融合情感体验与情境认知的具身化安全记忆。